جدیدترین ویدیوها
class 12th pyq questions
#pyq
#shubhamsir
#differentiation
previous year question paper
class 10th
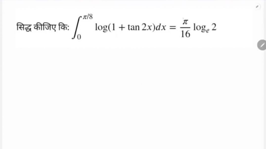
class 12th integration questions practice
integration questions practice
#class12th
#math
#shubhamsir
class 12th definite integration questions for upboard CBSC board and other exam
#definiteintegral
#math
#shubhamsir
#upboard
#cbscboard
trigonometry question
#trigonometry
class 11th Limit
#limit
#maths
#class11th
#byshubhamsir
class 10th Polynomial
بیشتر نشان بده، اطلاعات بیشتر
